is an Euclidean domain if the following two conditions hold
with
and
we have
,
with
there exist
such that
![]() |
(1) |
for
.
Here the quotient
) can be made unique by requiring
(hence we have
).
where
the degree of
and
.
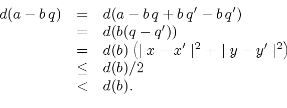
Uniqueness of the quotient and the remainder is easy to show
in that case. Indeed
![]() |
(2) |
![]() |
(3) |
and thus
.
for
and
.
In this case the quotient
and 0
respectively.
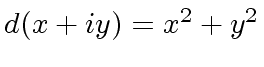
![]() |
(4) |
the norm of an element.
Hence
with
.
It is easy to check that for every
with
we have
.
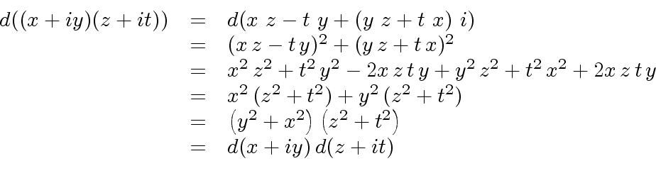
Indeed for
we have
![]() |
(5) |
we have
.
Therefore we have proved that
holds
for every
with
.
Now given
with
we are looking for
a quotient and a remainder of
.
Such a
that is
where
with
.
Let
be such that
and
.
Then
![]() |
(6) |
and
we have
with
and
with
.
In both cases
.
Finally this shows that a quotient and a remainder of Marc Moreno Maza