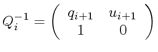
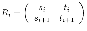
In order to analyze Algorithms 2 and 3
we introduce the following matrices
 |
(12) |
with coefficients in
.
Then, we define
 |
(13) |
The following proposition collects some invariants of the
Extended Euclidean Algorithm.
Proposition 1
With the convention that
and
,
for
we have
-
,
-
,
-
,
-
and
,
-
,
-
,
-
,
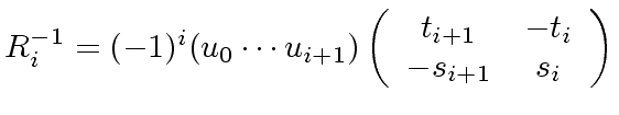
- the matrices
and
are invertible;
and
,
-
,
-
.
Proof.
We prove

and

by induction on

.
The case

follows immediately from the definitions
of

and

.
We assume that

and

hold for

.
By induction hypothesis, we have
 |
(14) |
Similarly, we have
 |
(15) |
Property

follows from our study of Algorithm
1.
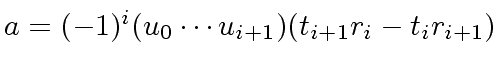
Claim

follows

and

.
Taking the determinant of each side of

we prove

as follows:
 |
(16) |
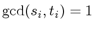
Now, we prove

.
If

and

would have a non-invertible common factor, then it would
divide

.
This contradicts

and proves

.
We prove

.
Let

be a divisor of

.
If

, then

holds since we have

from

.
If

, then

and, thus,

since

and

are relatively prime, from

.
Therefore,

holds.
We prove

.
From

, we deduce that

is invertible.
Then, the invertibility of

follows easily from that of

.
It is routine to check that the proposed inverses are correct.
Finally, claims

and

are derived from

by multiplying each side with the inverse of

given in

.
In the case
where
is a field,
the following Proposition 2
shows that the degrees of
the Bézout coefficients of the
Extended Euclidean Algorithm grow linearly
whereas Proposition 3
shows that Bézout coefficients are essentially unique,
provided that their degrees are small enough.
Proof.
We only prove the first equality since the second one can be verified
in a similar way.
In fact, we prove this first equality together with
 |
(19) |
by induction on

.
For

, the first equality holds since we have
 |
(20) |
and the inequality holds since we have
 |
(21) |
Now we consider

and we assume that both properties
hold for

.
Then, by induction hypothesis, we have
 |
(22) |
which implies
 |
(23) |
and
 |
(24) |
where we used the induction hypothesis also.
Proof.
First, we observe that the index

exists and is unique. Indeed,
we have

and,
 |
(28) |
Second, we claim that
 |
(29) |
holds.
Suppose that the claim is false and consider the following linear
system over

with

as unknown:
 |
(30) |
Since the matrix of this linear system is non-singular, we can solve for

over the field of fractions of

.
Moreover, we know that

is the solution.
Hence, using Cramer's rule we obtain:
 |
(31) |
The degree of the left hand side is

while the degree of the right hand side is equal or less than:
 |
(32) |
by virtue of the definition of

, Relation (
25) and
Proposition
2.
This leads to a contradiction.
Hence, we have

.
This implies that

divides

.
Since

and

are relatively prime (Point

of Proposition
1) we deduce that

divides

.
So let
![$ {\alpha} \in {\bf k}[x]$](img158.png)
such that
we have
 |
(33) |
Hence we obtain

.
Since

holds, we have

, leading to
 |
(34) |
Finally, plugging Equation (
33) and Equation (
34)
in Equation (
25), we obtain

, as claimed.
Proposition 4
Let
where
is a field.
Assume
.
- Algorithm 3 requires at most
inversions and
additions
and multiplications in
.
- If we do not compute the coefficients
then
Algorithm 3 requires at most
inversions and
additions
and multiplications in
.
Proof.
See Theorem 3.11 in [
GG99].
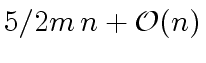
Proposition 5
Let
be multi-precision integers written with
and
words.
Algorithm 3 can be performed in
word operations.
Proof.
See Theorem 3.13 in [
GG99].
Marc Moreno Maza
2008-01-07