Objectives

Computer algebra is the set of the techniques for performing algebraic calculations on computers. This includes developing

By algebraic calculations we mean symbolic or exact computations.

Actually, these high-school problems are not that easy: Several kinds of difficulties appear there: Computer algebra aims at remedying these difficulties, as much as possible.

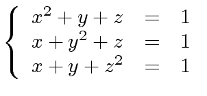
Let us illustrate the question of exactness with an example. Consider the following system of 3 non-linear equations in 3 variable:

$\displaystyle \left\{ \begin{array}{rcl} x^2 + y + z & = & 1 \\ x + y^2 + z & = & 1 \\ x + y + z^2 & = & 1 \\ \end{array} \right.$    

The output with phc the symb.-num. software of J. Verschelde (Univ. Chicago):
solution 1 :    start residual :  3.968E-12   #iterations : 1   success
 x :  9.99999695984909E-01   4.13938269379988E-07
 y :  3.04015091103714E-07  -4.13938269379988E-07
 z :  3.04015090976779E-07  -4.13938269379988E-07
== err :  2.154E-06 = rco :  1.197E-07 = res :  9.920E-13 = complex regular ==
solution 2 :    start residual :  1.388E-16   #iterations : 1   success
 x :  4.14213562373095E-01   2.35098870164458E-38
 y :  4.14213562373095E-01  -1.67507944992176E-37
 z :  4.14213562373095E-01   1.29304378590452E-37
== err :  7.517E-16 = rco :  6.017E-02 = res :  5.551E-17 = real regular ==
solution 3 :    start residual :  2.400E-12   #iterations : 1   success
 x :  1.80048038888678E-08   4.29782537417684E-07
 y :  9.99999981995196E-01  -4.29782537417684E-07
 z :  1.80048038262633E-08   4.29782537417684E-07
== err :  1.344E-06 = rco :  7.463E-08 = res :  5.995E-13 = complex regular ==
solution 4 :    start residual :  9.614E-13   #iterations : 1   success
 x :  1.00000024904061E+00  -3.93267692590196E-08
 y : -2.49040612161639E-07   3.93267692590197E-08
 z : -2.49040612108234E-07   3.93267692590197E-08
== err :  8.657E-07 = rco :  4.806E-08 = res :  2.400E-13 = complex regular ==
solution 5 :    start residual :  2.745E-12   #iterations : 1   success
 x :  3.58839953269127E-07   1.89357516639334E-07
 y :  3.58839953269127E-07   1.89357516639334E-07
 z :  9.99999641160047E-01  -1.89357516639334E-07
== err :  1.645E-06 = rco :  7.071E-08 = res :  6.863E-13 = complex regular ==
solution 6 :    start residual :  1.744E-34   #iterations : 1   success
 x : -2.41421356237309E+00   0.00000000000000E+00
 y : -2.41421356237309E+00   0.00000000000000E+00
 z : -2.41421356237309E+00  -1.00577224408752E-106
== err :  3.611E-35 = rco :  4.142E-01 = res :  6.868E-106 = real regular ==
solution 7 :    start residual :  1.112E-12   #iterations : 1   success
 x : -2.64786238552867E-07  -4.67724648385200E-08
 y : -2.64786238552867E-07  -4.67724648385200E-08
 z :  1.00000026478624E+00   4.67724648385200E-08
== err :  9.341E-07 = rco :  4.530E-08 = res :  2.779E-13 = complex regular ==
solution 8 :    start residual :  2.045E-12   #iterations : 1   success
 x :  1.42636460554469E-07  -3.16738323586431E-07
 y :  9.99999857363539E-01   3.16738323586431E-07
 z :  1.42636460467758E-07  -3.16738323586431E-07
== err :  1.378E-06 = rco :  7.656E-08 = res :  5.117E-13 = complex regular ==
===========================================================================
A list of 8 solutions has been refined :
Number of regular solutions   : 8.
Number of singular solutions  : 0.
Number of real solutions      : 2.
Number of complex solutions   : 6.
Number of clustered solutions : 0.
Number of failures            : 0.
===========================================================================
The solution provided by triade my symbolic solver in ALDOR is
{z^2 +2*z -1,
y -z,
x -z}

{z,
y -1,
x}

{z,
y,
x -1}

{z -1,
y,
x}

Dimensions: [0,0,0,0]
Degrees: [2,1,1,1]
How to choose between symbolic and numeric methods?
$ \bullet$
If the input is an approximate system, then only numeric (or symbolic-numeric) methods make sense.
$ \bullet$
If the input is an exact system but the user only cares about approximate solutions, then symbolic-numeric methods are more appropriate.
$ \bullet$
If both the input and the desired answer are exact, then only symbolic methods make sense. Examples:

Marc Moreno Maza
2008-01-07