DIVIDE-AND-CONQUER ALGORITHMS proceed as follows.
- Divide
- the input problem into sub-problems.
- Conquer
- on the sub-problems by solving them directly if they are small
enough or proceed recursively.
- Combine
- the solutions of the sub-problems to obtain the solution of the
input problem.
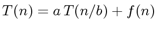
EQUATION SATISFIED BY
MATHEND000#.
Assume that the size of the input problem increases with an integer
.
Let
be the time complexity of a divide-and-conquer algorithm
to solve this problem.
Then
satisfies an equation of the form:
 |
(14) |
where
is the cost of the combine-part,
is the
number of recursively calls and
with
is the size of a sub-problem.
LABELED TREE ASSOCIATED WITH THE EQUATION.
Assume
is a power of
, say
To solve this equation we can associate a labeled tree
to it
as follows.
- If
, then
is reduced to a single leaf by labeled
.
- If
, then the root of
is labeled
by
and
possesses
labeled sub-trees all equal to
.
The labeled tree
associated with
has height
.
Moreover the sum of its labels is
.
LET US GIVE TWO EXAMPLES.
- Consider the relation:
 |
(15) |
We obtain:
 |
(16) |
Hence we have:
 |
(17) |
- Consider the relation:
 |
(18) |
We obtain:
 |
(19) |
A FORMULA TO ESTIMATE
MATHEND000#.
Let
be an integer and let
be functions
such that
-
and
.
- If
then
Then for
we have
- if
then
 |
(20) |
- if
then
 |
(21) |
- if
then
 |
(22) |
Indeed
 |
(23) |
Moreover
 |
(24) |
Thus
 |
(25) |
Hence
 |
(26) |
For
we obtain
 |
(27) |
For
we obtain
 |
(28) |
Marc Moreno Maza
2008-01-07