A modular Gcd Algorithm in $ E[x]$ with $ E$ Euclidean

We present now another generalization of Algorithm 3: the case of univariate polynomials over an Euclidean domain $ E$ with an Euclidean size $ {\delta}$ . This idea appears in [KM99]. We need two assumptions for $ E$ .

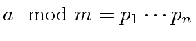
First we assume that we have access to the stream of unassociated primes $ p_1, p_2, p_3, \ldots, $ such that $ {\delta}(p_1) < {\delta}(p_1 p_2) < {\delta}(p_1 p_2 p_3) < \cdots$ . Indeed the recovery of an element $ a$ in $ E$ from $ a \mod{m=p_1 \cdots p_n}$ requires sufficiently large $ m$ .

Secondly, we assume the avialability of a mapping $ {\mbox{\sf scs}}$ from $ E \times E \setminus \{ 0\}$ to $ E$ , called a symmetric canonical simplifier, such that we have the following properties.

Simplification.
Any element $ a \in E$ must satisfy $ a \ \equiv \ {\mbox{\sf scs}}(a,m)$ for any $ m \in E \setminus \{ 0\}$ . More formally:

$\displaystyle ({\forall} \ a \in E) ({\forall} \ m \in E \setminus \{ 0\}) \ \ a \ \equiv \ {\mbox{\sf scs}}(a,m).$ (116)

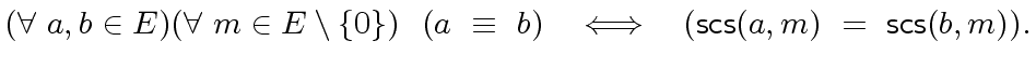
Canonicity.
For any $ m \in E \setminus \{ 0\}$ , any two elements $ a,b \in E$ equivalent modulo $ m$ must satisfy $ {\mbox{\sf scs}}(a,m) \ = \ {\mbox{\sf scs}}(b,m)$ . More formally:

$\displaystyle ({\forall} \ a,b \in E) ({\forall} \ m \in E \setminus \{ 0\}) \ ...
...\ \equiv \ b) \ \ \iff \ \ ({\mbox{\sf scs}}(a,m) \ = \ {\mbox{\sf scs}}(b,m)).$ (117)

Recoverage = symmetry.
All elements of a bounded degree are recovered by the simplifier if the modulus is sufficiently large.

$\displaystyle ({\forall} \ B > 0) ({\exists} \ M \in {\mbox{${\mathbb{N}}$}}) (...
...elta}(a) < B \end{array} \right. \ \ \Rightarrow \ \ {\mbox{\sf scs}}(a,m) = a.$ (118)

Algorithm 5  

\fbox{
\begin{minipage}{12 cm}
\begin{description}
\item[{\bf Input:}] $f,g \in ...
...n} $h$\ \\
\> \> $(m, g_m)$\ := $(m \, p, w)$\ \\
\end{tabbing}\end{minipage}}

See [KM99] for more details.

Marc Moreno Maza
2008-01-07